• Предмет: Алгебра
  • Автор: Аноним
  • Вопрос задан 10 лет назад

Пожалуйста, очень нужно..

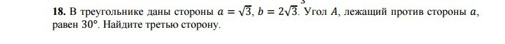
Приложения:

Ответы

Ответ дал: vbotalygin
0
Против угла в 30 градусов лежит катет, равный половине гипотенузы. То есть угол b - прямой. Тогда сторона C - катет в прямоугольном треугольнике, и c=sqrt{ a^{2} + b^{2} } = sqrt{ (2 sqrt{3} )^{2} + ( sqrt{3} )^{2}} = sqrt{12+3} = sqrt{15}
Вас заинтересует