• Предмет: Алгебра
  • Автор: 547459999
  • Вопрос задан 10 лет назад

РЕШИТЬ ..................

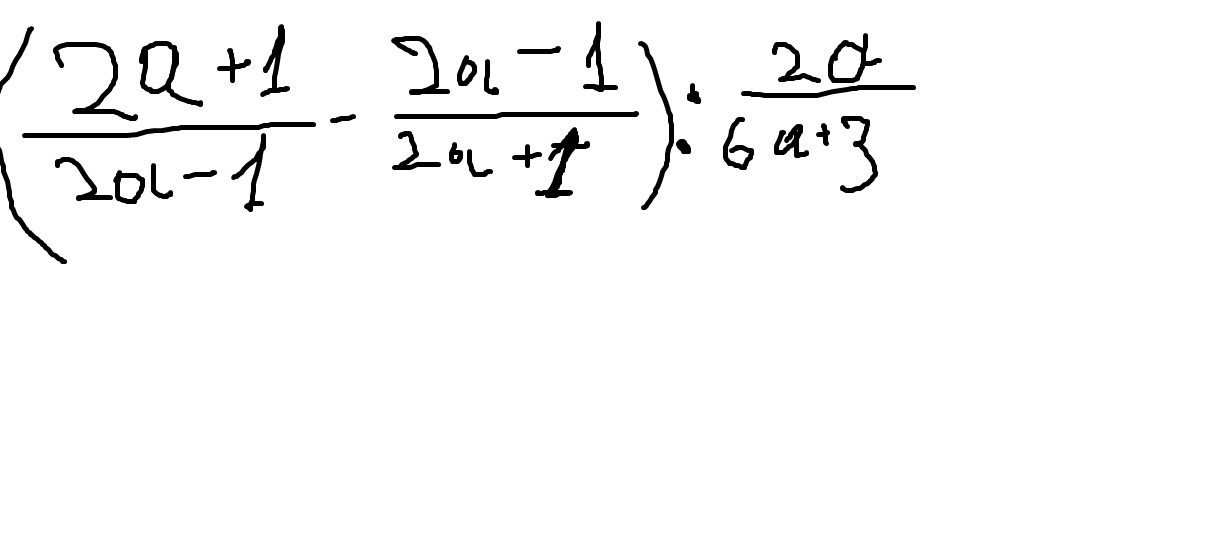
Приложения:

Ответы

Ответ дал: skvrttt
0
(frac{2a+1}{2a-1}-frac{2a-1}{2a+1}):frac{2a}{6a+3}=\
(frac{2a+1}{2a-1}*frac{2a-1}{1}-frac{2a-1}{2a+1}*frac{2a-1}{1})*frac{6a+3}{2a}=\
(2a+1-frac{(2a-1)^2}{2a+1})*frac{6a+3}{2a}=\
(2a+1-frac{(2a+1)^2}{2a+1})*frac{6a+3}{2a}=\
(2a+1-(2a+1))*frac{6a+3}{2a}=\
(2a+1-2a-1)*frac{6a+3}{2a}=\
0*frac{6a+3}{2a}=0
Вас заинтересует