• Предмет: Алгебра
  • Автор: солнышко255252
  • Вопрос задан 10 лет назад

даю 35 баллов Пожалуйста помогите только чтобы все былис решениями
1) Решите систему уравнений
{у+3х=-4
{6х-у=-5
2) Вместо К запишите такое число чтобы:
а) у системы уровнений было одно решение
{у=3х-5
{у=кх+5
б) у системы уровнений не было решения
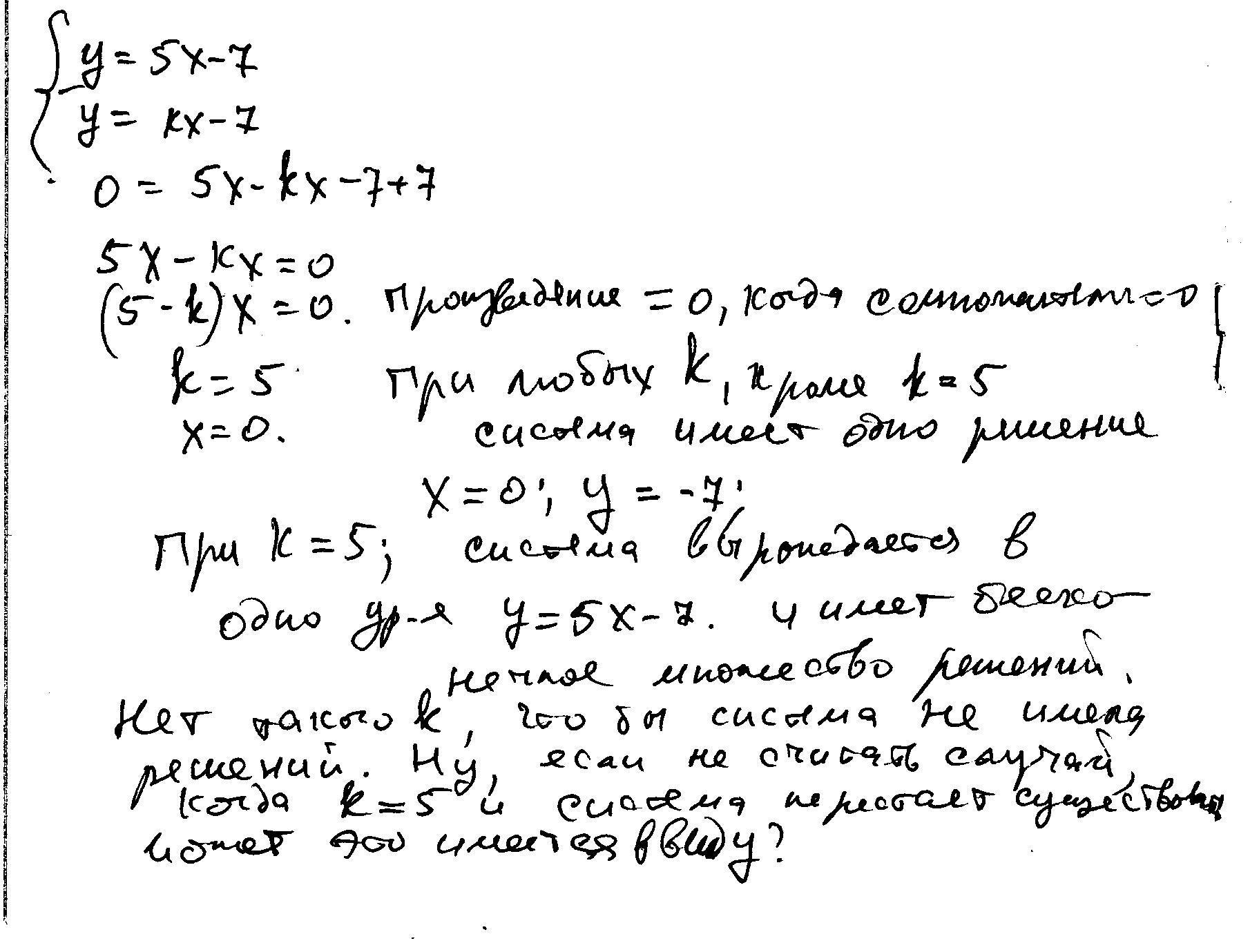
{у=5х-7
{у=кх-7

Ответы

Ответ дал: ужнеужели
0
решение в скане........
Приложения:
Ответ дал: ужнеужели
0
Можно
Ответ дал: солнышко255252
0
номер 2 мне что то не понятно вместо К вы какую цифру подставили
Ответ дал: ужнеужели
0
Люое,ь кроме л=3. Тогда система имеет одно решение. При к=з не имеет решений
Ответ дал: солнышко255252
0
еще раз спасибо
Ответ дал: ужнеужели
0
спасибо.
Вас заинтересует