• Предмет: Алгебра
  • Автор: mattforest
  • Вопрос задан 10 лет назад

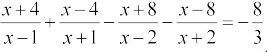
Решить уравнения. Алгебра 11 класс

Приложения:

Ответы

Ответ дал: nVikki
0
смотри решение на фото
Приложения:
Вас заинтересует