• Предмет: Алгебра
  • Автор: reshi5
  • Вопрос задан 10 лет назад

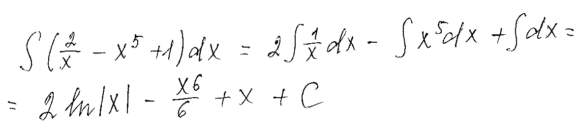
Найдите неопределенный интеграл:
 intlimits({2/x}-x^5+1) , dx

Ответы

Ответ дал: ИННАХГ46
0
Вычисления смотри на фото
Приложения:
Ответ дал: reshi5
0
спасибо
Вас заинтересует