• Предмет: Алгебра
  • Автор: Nick373
  • Вопрос задан 10 лет назад

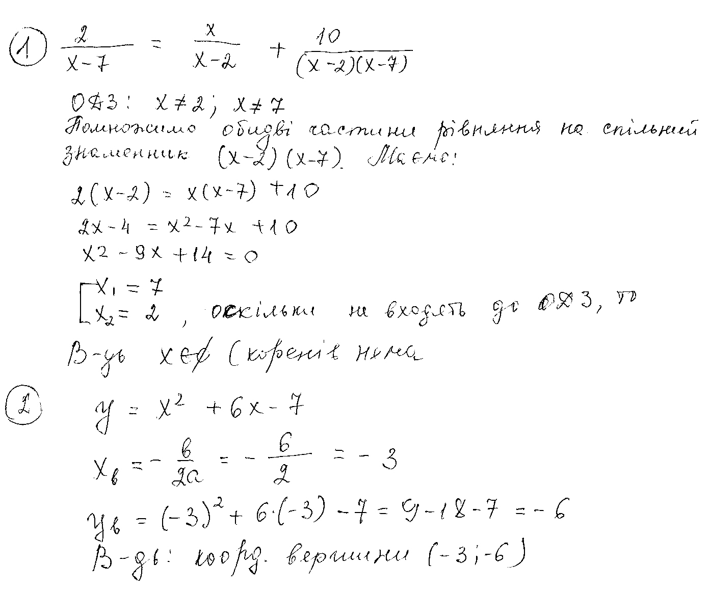
1.Розв'яжіть рівння
2.Укажіть координати вершини параболи

Приложения:

Ответы

Ответ дал: ИННАХГ46
0
Дивіться запропоноване розвязання в файлі
Приложения:
Вас заинтересует