Ответы
Ответ дал:
0
А что не понятно?!
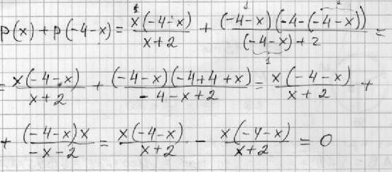
Выражения р(х) и р( - 4 - х) почти похожи, только во втором вместо х поставили (- 4 - х). Ну, а дальше элементарные преобразования!
1 - отмечены те выражения которые заменены х на (- 4 - х)
Выражения р(х) и р( - 4 - х) почти похожи, только во втором вместо х поставили (- 4 - х). Ну, а дальше элементарные преобразования!
1 - отмечены те выражения которые заменены х на (- 4 - х)
Приложения:
Вас заинтересует
2 года назад
2 года назад
8 лет назад
8 лет назад
10 лет назад
10 лет назад
10 лет назад