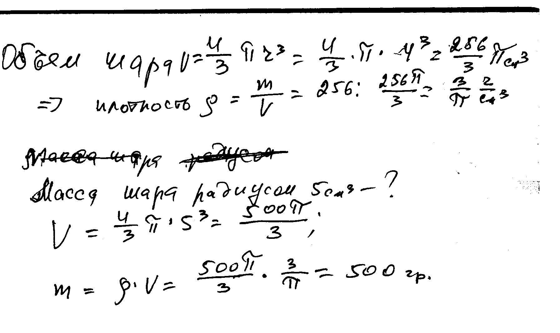
Однородный шар диаметром 4 см весит 256 г. Сколько весит шар диаметром 5 см, изготовленный из того же материала?
Ответы
Ответ дал:
0
решение в скане.........
Приложения:
Вас заинтересует
3 года назад
3 года назад
8 лет назад
8 лет назад
10 лет назад
10 лет назад
10 лет назад