• Предмет: Алгебра
  • Автор: alyona0306
  • Вопрос задан 10 лет назад

Помогите решить...........................

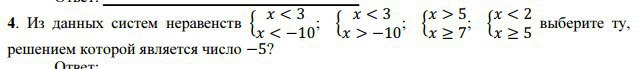
Приложения:

Ответы

Ответ дал: пчелка101010
0
Вторая. -5 < 3 и -5 > -10
Ответ дал: alyona0306
0
Спасибо)
Ответ дал: Utem
0
В первой системе х∈(-∞;-10)
Во второй              х∈(-10;3)
В третьей              х∈[7;+∞)
В четвёртой          нет решений

Ответ: -5 является решением второй системы.
Вас заинтересует