• Предмет: Алгебра
  • Автор: rikgetikov
  • Вопрос задан 10 лет назад

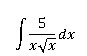
решите интеграл( найдите первообразную)

Приложения:

Ответы

Ответ дал: Эксперт5
0
 intlimits { frac{5}{x sqrt{x} } } , dx = 5intlimits {x^{-1,5}} , dx=5* frac{x^{-1,5+1}}{-1,5+1}+C=\\= frac{5x^{-0,5}}{-0,5}+C=- frac{10}{ sqrt{x} }+C
Ответ дал: rikgetikov
0
как - 10 делить на корень из x получил
Вас заинтересует