• Предмет: Алгебра
  • Автор: RinaOka
  • Вопрос задан 10 лет назад

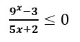
Помогите пожалуйста решить неравенство:

Приложения:

Ответы

Ответ дал: clever271
0
-------------------------------
Приложения:
Вас заинтересует