Ответы
Ответ дал:
0
Ответ дал:
0
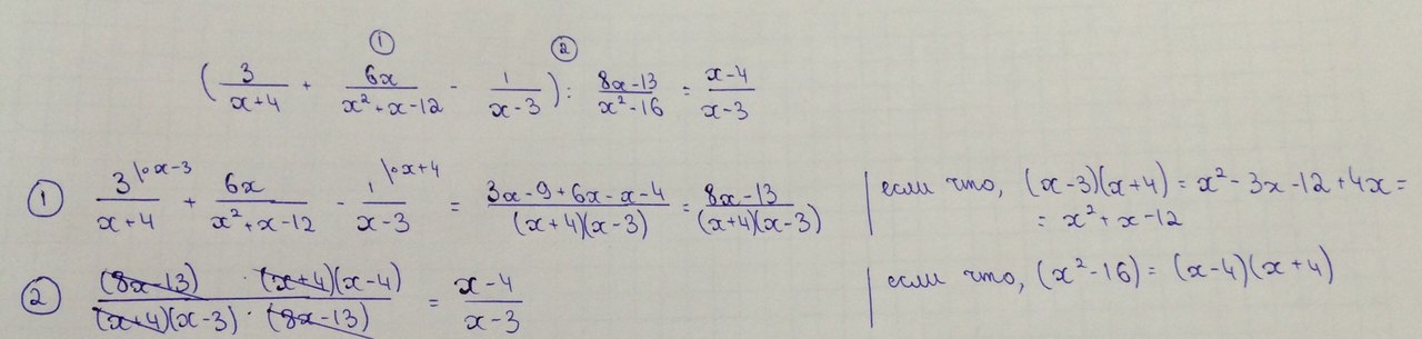
Решение во вложении. Удачи!
Приложения:

Ответ дал:
0
Ты меня спас(ла)
Вас заинтересует
7 лет назад
9 лет назад
9 лет назад
10 лет назад