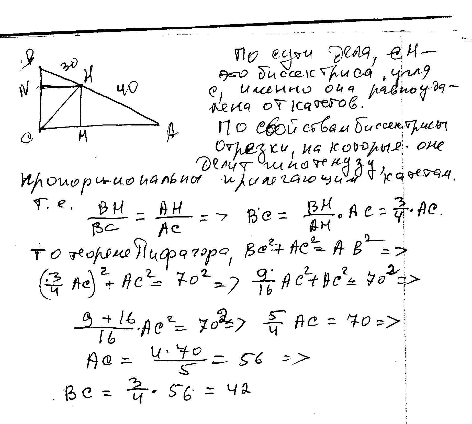
рівновіддалена від катетів точка гіпотенузи прям.трикутника ділить її на відрізки 30 см і 40 см.Знайдіть катети
Ответы
Ответ дал:
0
решение в скане..............
Приложения:

Ответ дал:
0
Быстро. Удачи Вам.
Ответ дал:
0
спасибо)
Вас заинтересует
2 года назад
7 лет назад
7 лет назад
9 лет назад
10 лет назад
10 лет назад