Ответы
Ответ дал:
0
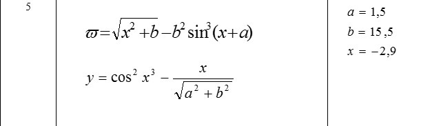
var a,b,x,s,w,y:real;
begin
a:=1.5; b:=15.5; x:=-2.9;
s:=sin(x+a);
w:=sqrt(x*x+b)-b*b*s*s*s;
y:=sqr(x*x*x)-x/sqrt(a*a+b*b);
writeln('w = ',w,' y = ',y);
end.
Результат:
w = 234.804528324246 y = 595.00954777673
begin
a:=1.5; b:=15.5; x:=-2.9;
s:=sin(x+a);
w:=sqrt(x*x+b)-b*b*s*s*s;
y:=sqr(x*x*x)-x/sqrt(a*a+b*b);
writeln('w = ',w,' y = ',y);
end.
Результат:
w = 234.804528324246 y = 595.00954777673
Вас заинтересует
3 года назад
3 года назад
8 лет назад
10 лет назад