• Предмет: Алгебра
  • Автор: Рухия
  • Вопрос задан 10 лет назад

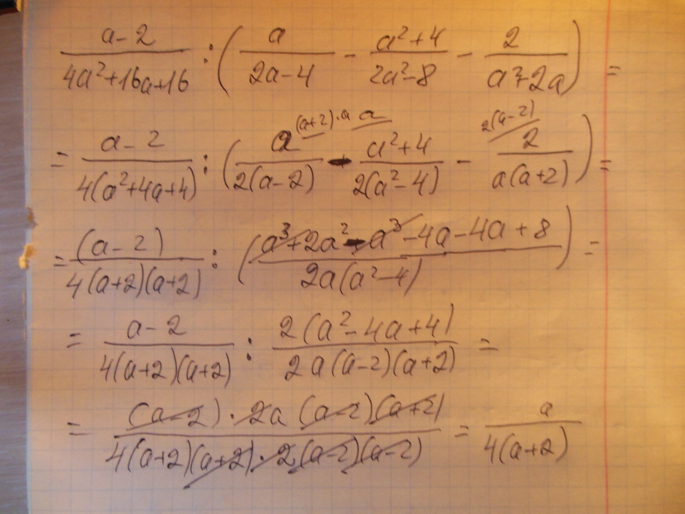
Помогите пожалуйста! Сделайте 1 задание (а). Заранее благодарю.

Приложения:

Ответы

Ответ дал: miron2077
0
решение в приложении
Приложения:
Ответ дал: Рухия
0
Большое-большое спасибо!!!
Ответ дал: miron2077
0
пожалуйста
Ответ дал: Рухия
0
я задала еще один вопрос, 19б. Если Вас не затруднит, решите пожалуйста систему уравнений. Заранее благодарю.
Ответ дал: miron2077
0
Алгебра или математика? Напиши первые слова задания, так не найти
Вас заинтересует