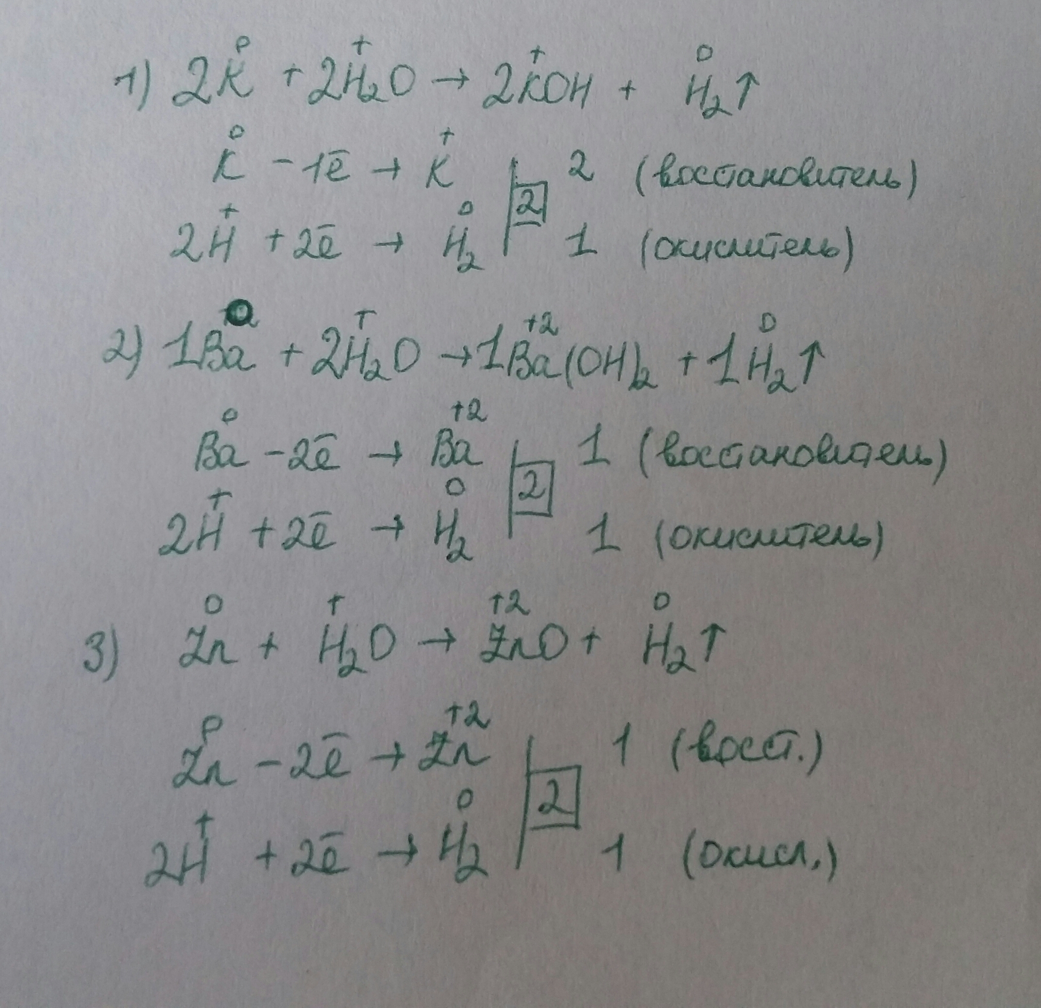
1. K+H2O=KOH+H2O
2. Ba+H2O=Ba(OH)2+H2
3. Zn+H2O=ZnO+H2уравнять, и записать в окислительно восстановительной форме
Ответы
Ответ дал:
0
...............................
Приложения:

Вас заинтересует
2 года назад
2 года назад
7 лет назад
7 лет назад
9 лет назад