• Предмет: Алгебра
  • Автор: NoBrain1
  • Вопрос задан 10 лет назад

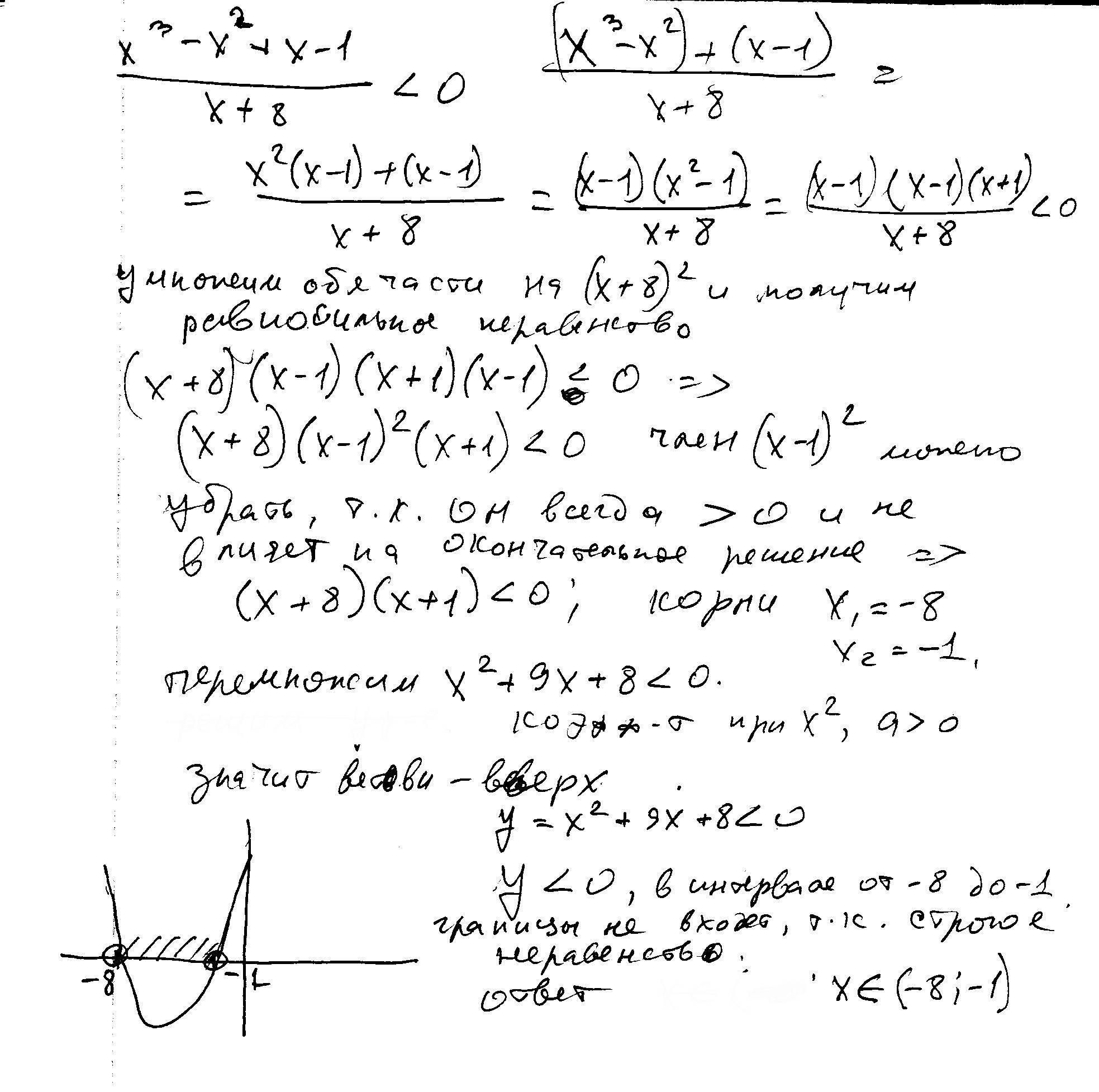
Помогите решить

x^3-x^2+x-1/x+8 <=0

Ответы

Ответ дал: ужнеужели
0
решение в скане...............
Приложения:
Вас заинтересует