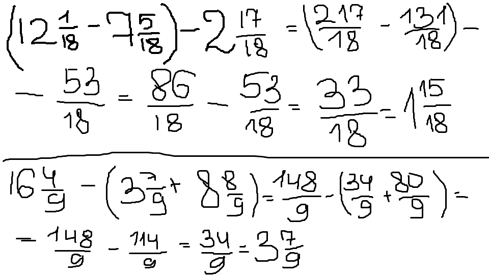
Помогите please по матеки № 10 из разности чисел 12 1/18 и 7 5/18 вычесть 2 1718 и следлущие из 16 4/9 вычесть сумму чисел 3 7/9 и 8 8/9
Ответы
Ответ дал:
0
Вот решение, сначала всё в неправильную, а потом просто решаешь и всё
Приложения:
Вас заинтересует
3 года назад
3 года назад
8 лет назад
8 лет назад
11 лет назад
11 лет назад
11 лет назад
11 лет назад