• Предмет: Геометрия
  • Автор: пипимимими
  • Вопрос задан 10 лет назад

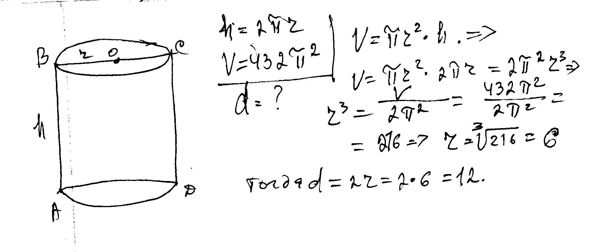
Высота цилиндра равна длине окружности основания. найти диаметр основания, если объем цилиндра 432π^2

Ответы

Ответ дал: ужнеужели
0
решение в скане...........
Приложения:
Вас заинтересует