Ответы
Ответ дал:
0
решение во вложении----------------------------
Приложения:


Ответ дал:
0
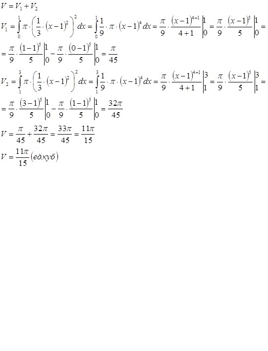
y=(1/3)*(x-1)²
V=π∫ₐᵇ f²(x)dx ⇒
V=π∫₀³ ((x-1)²/3)²=π∫₀³ (x-1)⁴/9=(π/9)∫₀³ (x-1)⁴=(π/9)*(x-1)⁵/5 I₀³=
=(π/45)*(2⁵-(-1)⁵)=(π/45)*(32+1)=33π/45≈2,3 ед³.
V=π∫ₐᵇ f²(x)dx ⇒
V=π∫₀³ ((x-1)²/3)²=π∫₀³ (x-1)⁴/9=(π/9)∫₀³ (x-1)⁴=(π/9)*(x-1)⁵/5 I₀³=
=(π/45)*(2⁵-(-1)⁵)=(π/45)*(32+1)=33π/45≈2,3 ед³.
Приложения:


Вас заинтересует
2 года назад
2 года назад
7 лет назад
7 лет назад
9 лет назад
9 лет назад