Ответы
Ответ дал:
0
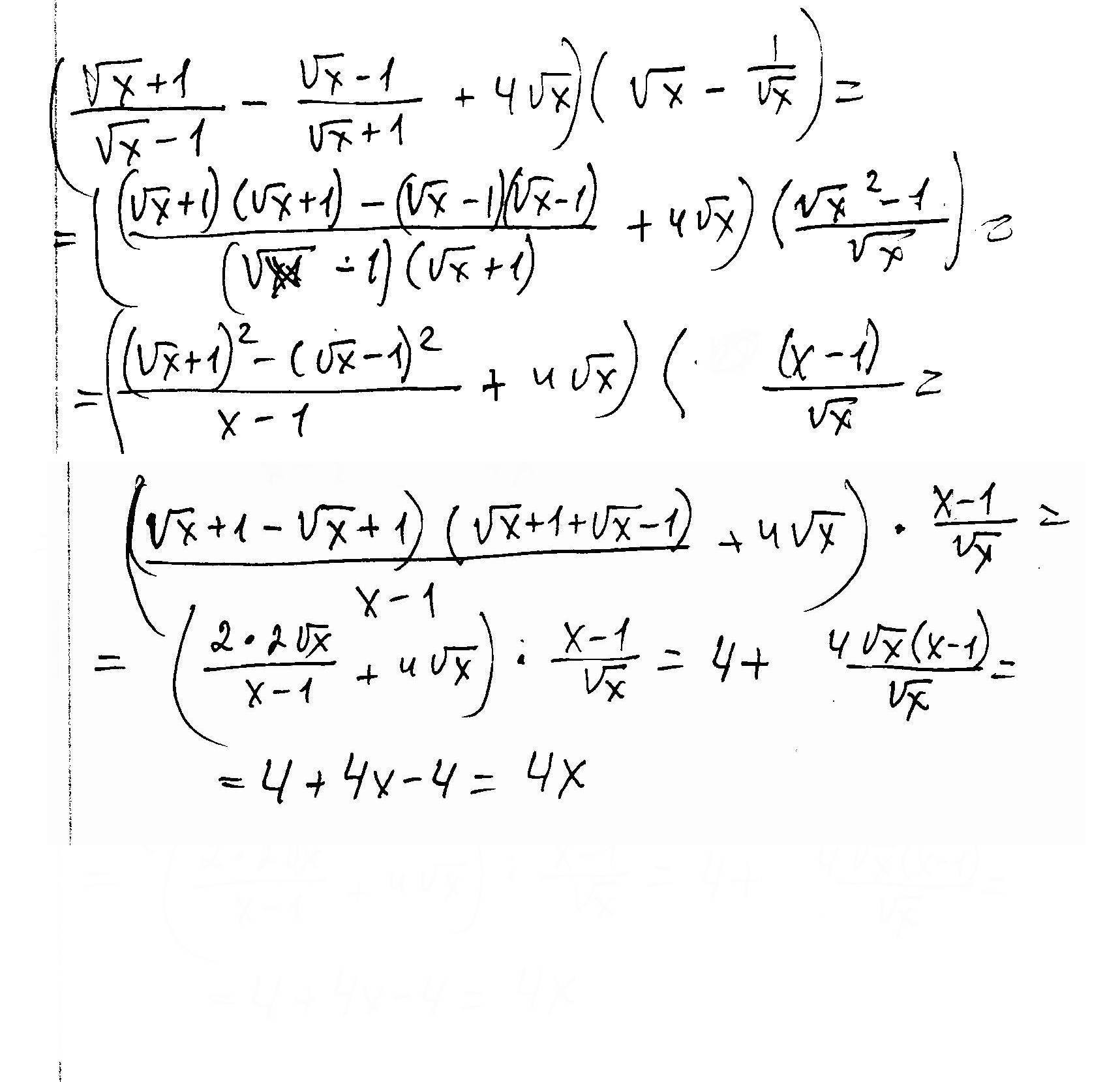
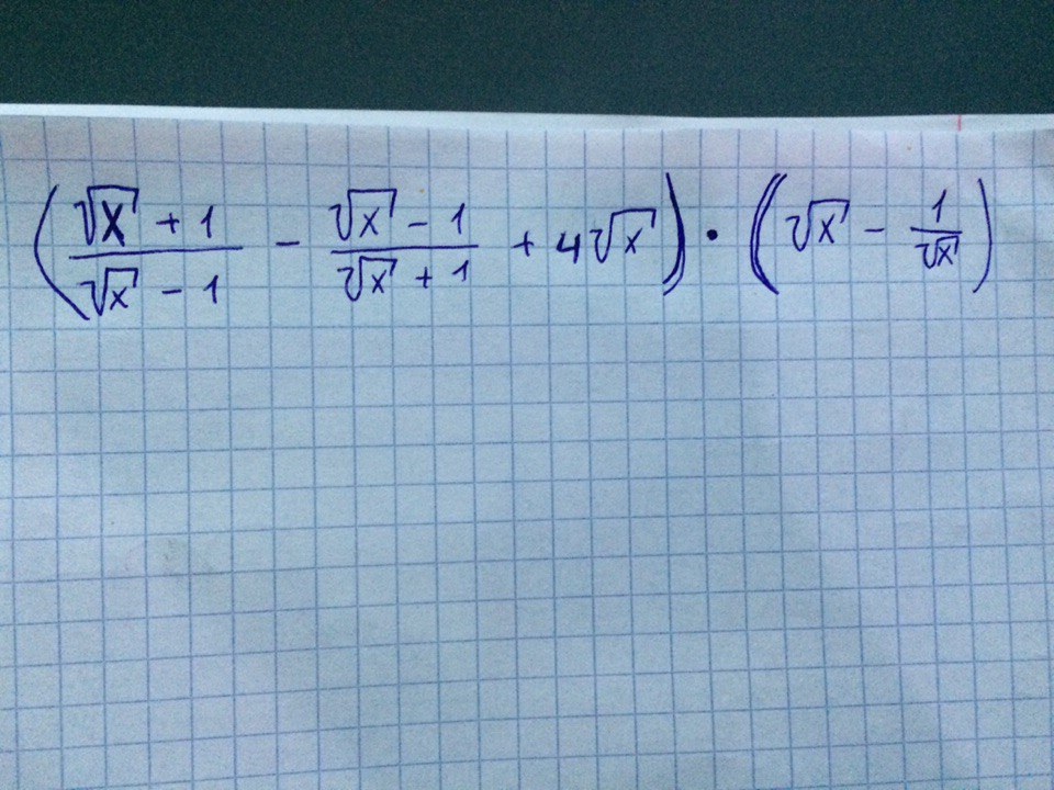
решение в скане...............
Приложения:

Ответ дал:
0
Удачи Вам.
Вас заинтересует
2 года назад
2 года назад
7 лет назад
9 лет назад
10 лет назад