• Предмет: Алгебра
  • Автор: MatanInquisitor
  • Вопрос задан 10 лет назад

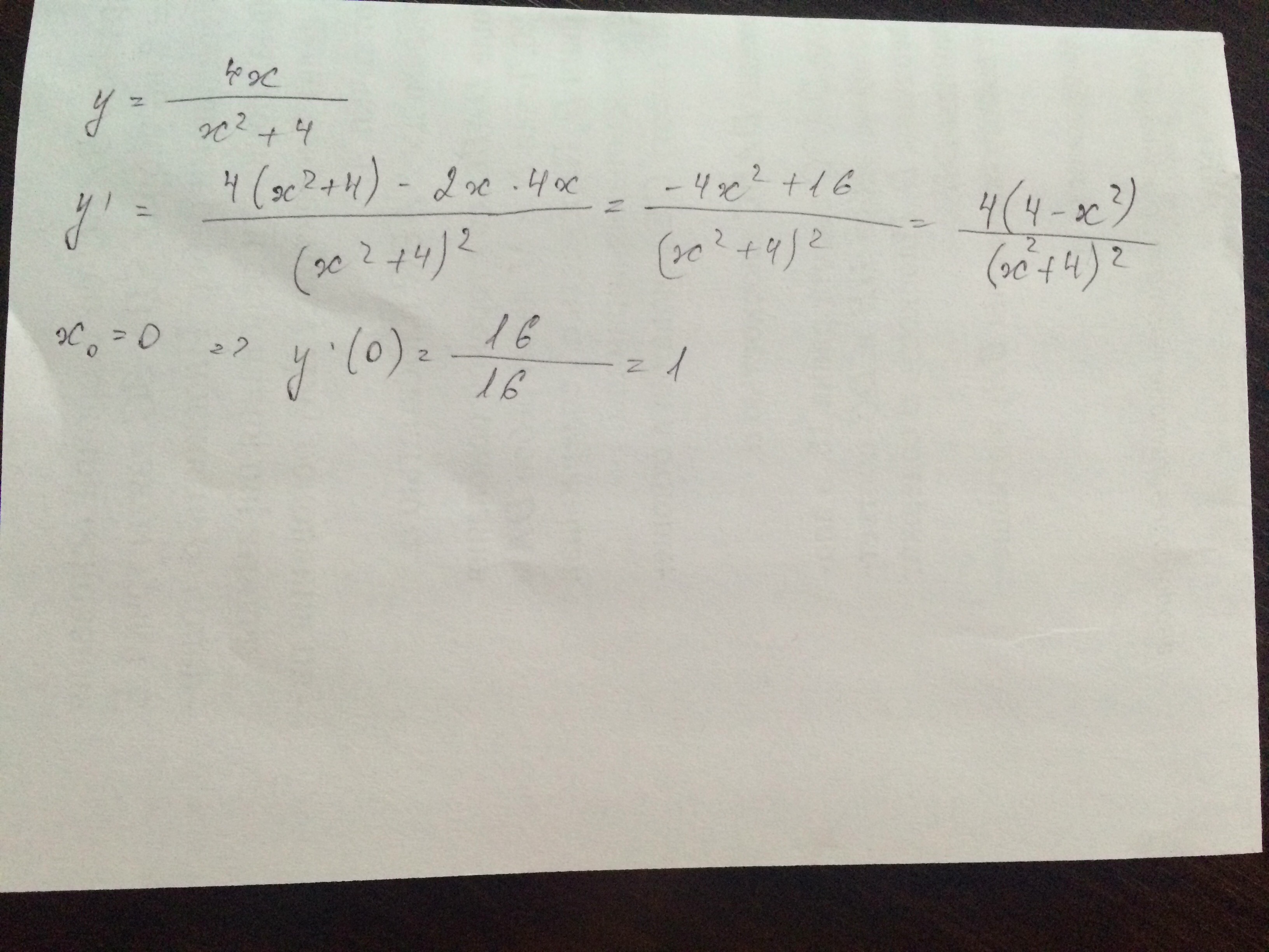
Найдите значение производной в функции: f(x)=4x/(x^2+4). x0=0

Ответы

Ответ дал: Norive
0
Если есть вопросы, задавайте

Приложения:
Ответ дал: yulgum
0
f '(x)=(4(x^2+4)-(2x)4x)/((x^2+4)^2)
f(x0)=1
Приложения:
Вас заинтересует