даю 38 балов помогите пжл
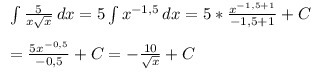
Правильно ли найден интеграл ?
И если да как получились 10 делить на корень из х ?
кликните на картинку
Приложения:

Ответы
Ответ дал:
0
объяснения смотри на фотографии
Приложения:

Вас заинтересует
2 года назад
2 года назад
7 лет назад
7 лет назад
9 лет назад
9 лет назад
10 лет назад