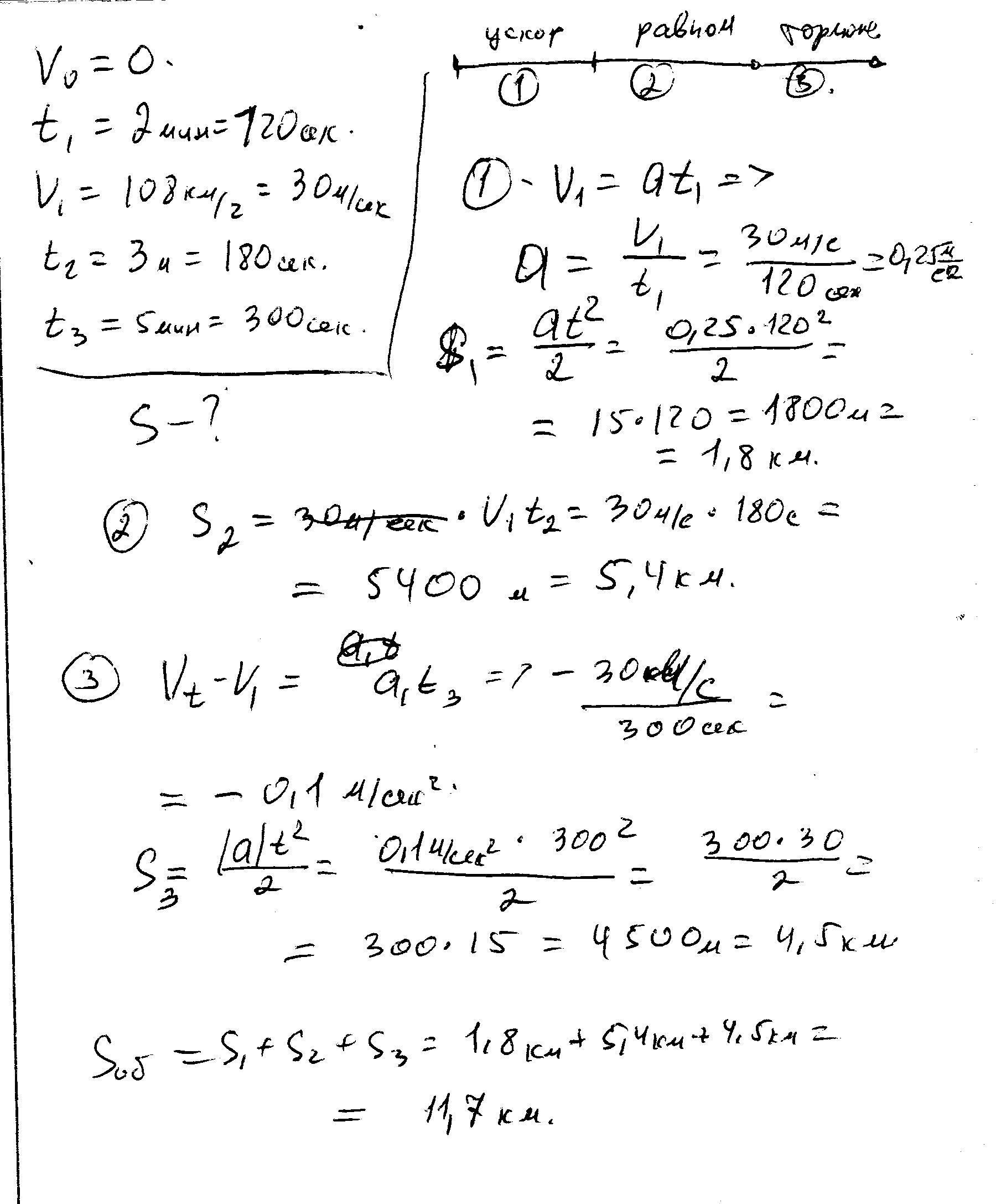
Поезд начал разгон, и за 2 минуты его скорость стала 108 км/час. Потом еще 3 минуты двигался с равномерной скоростью. После чего полностью затормозил за 5 минут. Найти пройденный путь поезда (В километрах)
Ответы
Ответ дал:
0
решение в скане..........
Приложения:

Вас заинтересует
7 лет назад
7 лет назад
9 лет назад
9 лет назад
10 лет назад
10 лет назад