Ответы
Ответ дал:
0
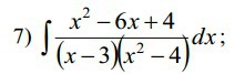
Решение на фотографии
Приложения:

Ответ дал:
0
спасибо большое
Ответ дал:
0
Пожалуйста)
Вас заинтересует
2 года назад
7 лет назад
7 лет назад
9 лет назад
10 лет назад
10 лет назад