• Предмет: Математика
  • Автор: Аноним
  • Вопрос задан 10 лет назад

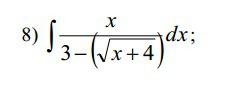
помогите найти интеграл

Приложения:

Ответы

Ответ дал: DedushkaBake
0
интеграл ___________________________________
Приложения:
Ответ дал: Аноним
0
спасибо большое!
Вас заинтересует