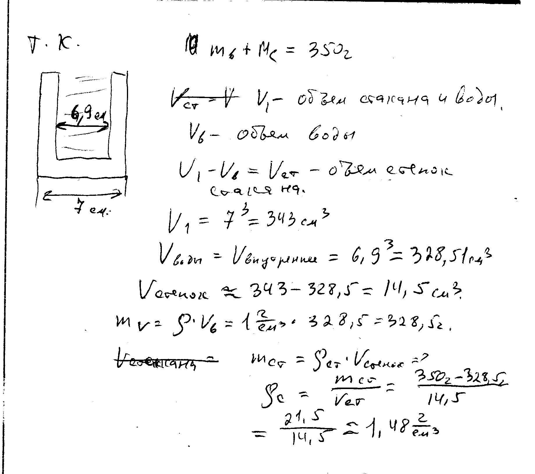
Стеклянный стакан имеет форму куба с длиной ребра D=7,0 см. Внутренняя часть стакана также является кубом с длиной ребра d=6,9 см. После того, как стакан доверху заполнили водой и поставили на весы, их показания оказались равными M=350 г. Определите плотность вещества, из которого изготовлен стакан. Ответ выразите в г/см3, округлив до десятых. Плотность воды ρ=1 г/см3.
Ответы
Ответ дал:
0
решение в скане.............
Приложения:

Ответ дал:
0
гениально! Спасибо!!!)
Ответ дал:
0
Это очень громко, но все равно спасибо.
Вас заинтересует
2 года назад
7 лет назад
7 лет назад
9 лет назад
10 лет назад