Ответы
Ответ дал:
0
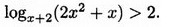
ОДЗ{x+2>0⇒x>-2
{x+2≠1⇒x≠-1
{x(2x+1)>0⇒x<-0,5 U x>0
x∈(-2;-1) U (-1;-0,5) U (0;∞)
1)x∈(-2;-1) основание меньше1,знак меняем
2x²+x<(x+2)²
2x²+x-x²-4x-4<0
x²-3x-4<0
x1+x2=3 U x1*x2=-4
x1=-1 U x2=4
-1<x<4
нет решения
2)x∈(-1;-0,5) U (0;∞)
x<-1 U x>4
x∈(4;∞)
{x+2≠1⇒x≠-1
{x(2x+1)>0⇒x<-0,5 U x>0
x∈(-2;-1) U (-1;-0,5) U (0;∞)
1)x∈(-2;-1) основание меньше1,знак меняем
2x²+x<(x+2)²
2x²+x-x²-4x-4<0
x²-3x-4<0
x1+x2=3 U x1*x2=-4
x1=-1 U x2=4
-1<x<4
нет решения
2)x∈(-1;-0,5) U (0;∞)
x<-1 U x>4
x∈(4;∞)
Вас заинтересует
2 года назад
7 лет назад
7 лет назад
10 лет назад
10 лет назад