• Предмет: Алгебра
  • Автор: kaeru322
  • Вопрос задан 10 лет назад

Помогите ребята егэ 2 дня

Приложения:

Ответы

Ответ дал: Гений095
0
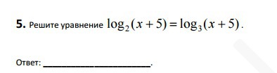
тут решение как бы нет, это задача делается на логику. Ответ х=-4 ,так как любое число в нулевой степени дает один 


Вас заинтересует