• Предмет: Математика
  • Автор: Sweep00
  • Вопрос задан 10 лет назад

Решите уравнения:
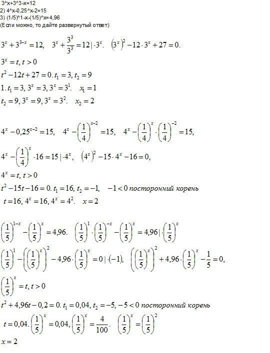
1) 3^х+3^3-х=12
2) 4^х-0,25^х-2=15
3) (1/5)^1-х-(1/5)^х=4,96
(Если можно, то дайте развернутый ответ)

Ответы

Ответ дал: kirichekov
0
решение во вложении--------------
Приложения:
Вас заинтересует