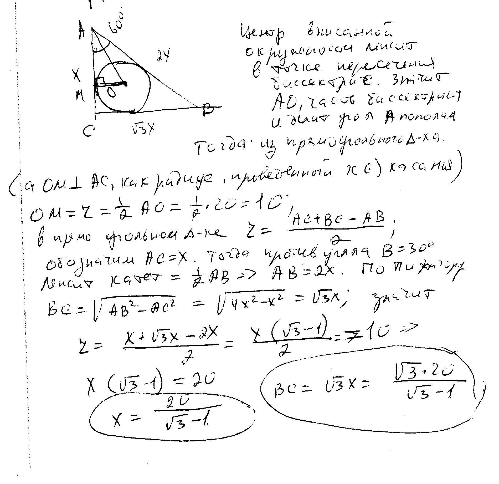
Дан прямоугольный треугольник ABC со вписанной в него окружностью в центре с точкой O. AO=20, угол A=60
Найти BC (основание треугольника)
Ответы
Ответ дал:
0
решение в скане..............
Приложения:

Вас заинтересует
2 года назад
2 года назад
7 лет назад
7 лет назад
9 лет назад
10 лет назад