• Предмет: Математика
  • Автор: costi
  • Вопрос задан 10 лет назад

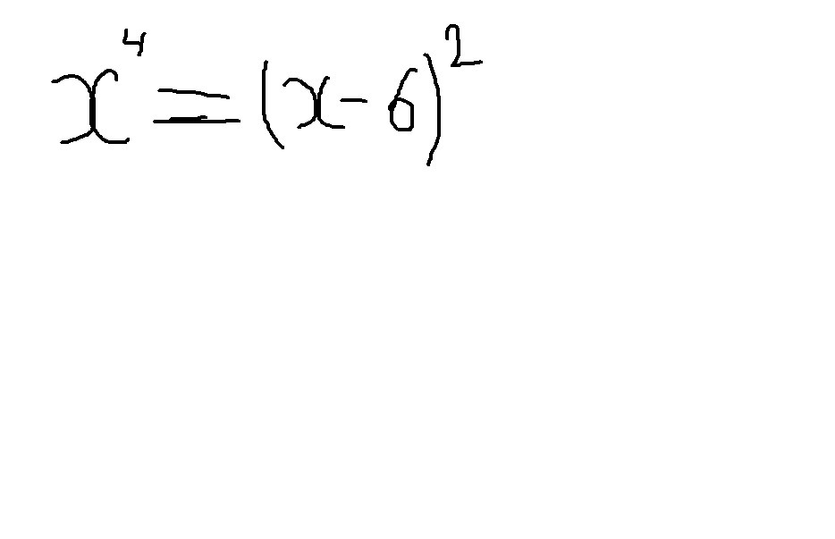
Помогите пожалуйста решить уравнение

Приложения:

Ответы

Ответ дал: kmike21
0
x⁴=(x-6)²
x²=x-6
при этом х-6≥0, х≥6
x²-x+6=0
D=1-4*6=-23
решения нет
Вас заинтересует