Ответы
Ответ дал:
0
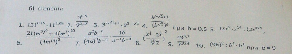
№задания | ответ
1 121
2 9
3 243
4 0,5
5 16
6 6
7 4
1 121
2 9
3 243
4 0,5
5 16
6 6
7 4
Приложения:

Ответ дал:
0
№9 (7 в степени 12,4):(7 в степени 10,4)=7 в квадрате=49
Ответ дал:
0
А можешь расписать решение всех 3 последних уравнений, если да, то могу еще один похожий вопрос запилить?
Ответ дал:
0
№10. (81b^2):b^7=(9^2*9^2):9^7=(9^4):(9^7)=9^-3=1:(9^3)=1:729
Ответ дал:
0
№8 не решила((
Ответ дал:
0
Ладно, в любом случае спасибо, обязательно отмечу твой ответ, как лучший)
Вас заинтересует
2 года назад
2 года назад
7 лет назад
9 лет назад
10 лет назад