Ответы
Ответ дал:
0
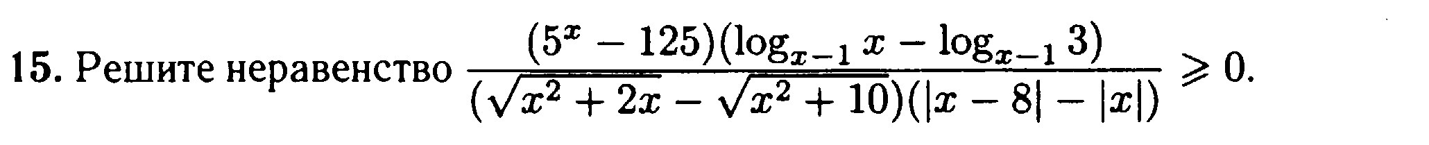
1) Выясняем, какие ограничения наложены на переменную. Так как x-1- основание логарифма, то x-1>0,x-1≠1, т.е. x>1 и x≠2. Так как выражение x²+2*x стоит под знаком квадратного корня, то x²+2*x=(x+1)²-1≥0, т.е. (x+1)²≥1. Отсюда либо x+1≥1, т.е. x≥0, либо x+1≤-1, т.е. x≤-2. Но так как x>1, то условие x≤-2 неравенству не удовлетворяет. на данный момент мы имеем 2 ограничения:
x>1, x≠2.
Так как выражение x²+10>0 при любом x, то здесь x может принимать любые значения. Однако должно выполняться требование √(x²+2*x)-√(x²+10≠0, иначе знаменатель дроби обратится 0. По этой же причине должно быть /x-8/-/x/≠0. Последнее требование выполняется при x≠4, а первое - при √(x²+2*x)≠√(x²+10). Решим уравнение √(x²+2*x)=√(x²+10). Возводя обе части в квадрат, получаем уравнение x²+2*x=x²+10, откуда x=5. Значит, должно выполняться требование x≠5.
В итоге мы имеем 4 ограничения, накладываемые на переменную x:
x>1, x≠2, x≠4, x≠5.
Переходим к решению неравенства, проведём его методом интервалов. При этом заметим, что при 1<x<2 x-1<1, поэтому логарифмическая функция y=log_x-1(x) на интервале (1;2) убывает, а при x>2 эта функция возрастает. Дробь обращается в 0 при 5^x-125=0, откуда x=log_5(125)=3 и при log_x-1(x/3)=0, откуда x/3=1 и x=3. Таким образом, дробь обращается в 0 лишь при x=3. Теперь составляем таблицу:
Интервал (1;2) (2;3) (3;4) (4;5) (5;+∞)
знак числителя - + + + +
знак знаменателя - - - + -
знак дроби + - - + -
Из таблицы видно, что неравенство удовлетворяется на интервалах (1;2)∪(4;5). А ранее было найдено, что дробь обращается в 0 при x=3.
x>1, x≠2.
Так как выражение x²+10>0 при любом x, то здесь x может принимать любые значения. Однако должно выполняться требование √(x²+2*x)-√(x²+10≠0, иначе знаменатель дроби обратится 0. По этой же причине должно быть /x-8/-/x/≠0. Последнее требование выполняется при x≠4, а первое - при √(x²+2*x)≠√(x²+10). Решим уравнение √(x²+2*x)=√(x²+10). Возводя обе части в квадрат, получаем уравнение x²+2*x=x²+10, откуда x=5. Значит, должно выполняться требование x≠5.
В итоге мы имеем 4 ограничения, накладываемые на переменную x:
x>1, x≠2, x≠4, x≠5.
Переходим к решению неравенства, проведём его методом интервалов. При этом заметим, что при 1<x<2 x-1<1, поэтому логарифмическая функция y=log_x-1(x) на интервале (1;2) убывает, а при x>2 эта функция возрастает. Дробь обращается в 0 при 5^x-125=0, откуда x=log_5(125)=3 и при log_x-1(x/3)=0, откуда x/3=1 и x=3. Таким образом, дробь обращается в 0 лишь при x=3. Теперь составляем таблицу:
Интервал (1;2) (2;3) (3;4) (4;5) (5;+∞)
знак числителя - + + + +
знак знаменателя - - - + -
знак дроби + - - + -
Из таблицы видно, что неравенство удовлетворяется на интервалах (1;2)∪(4;5). А ранее было найдено, что дробь обращается в 0 при x=3.
Ответ дал:
0
ОДЗ логарифмической функции, входящей в неравенство:

x∈(1;2)U(2;+∞)
При х∈(1;2)U(2;+∞) подкоренные выражения имеют смысл.
Избавимся от иррациональности в знаменателе:

Так как

при x>1, то неравенство примет вид:

Находим нули числителя:
1)

2)

Находим нули знаменателя:
3)
2x-10=0
x=5
4)
|x-8|-|x|=0
или
|x-8|=|x|
Возводим в квадрат
х²-16х+64=х²
16х=64
х=4
Отмечаем эти точки на числовой прямой с учетом ОДЗ:
(1)___(2)___[3]___(4)___(5)____
Дробь ≥0 тогда и только тогда когда числитель и знаменатель имеют одинаковые знаки.
Числитель положителен на (2;3]U[3;+∞)=(2;+∞)
Знаменатель положителен на (4;5)
Значит дробь положительна при х∈(4;5)
Дробь неотрицательна при х∈{3}U(4;5)
Числитель отрицателен на (1;2)
Знаменатель отрицателен на (1;2)U(2;4)U (5;+∞)
Значит дробь неотрицательна при х∈(1;2)
О т в е т. (1;2)U{3}U(4;5)
x∈(1;2)U(2;+∞)
При х∈(1;2)U(2;+∞) подкоренные выражения имеют смысл.
Избавимся от иррациональности в знаменателе:
Так как
при x>1, то неравенство примет вид:
Находим нули числителя:
1)
2)
Находим нули знаменателя:
3)
2x-10=0
x=5
4)
|x-8|-|x|=0
или
|x-8|=|x|
Возводим в квадрат
х²-16х+64=х²
16х=64
х=4
Отмечаем эти точки на числовой прямой с учетом ОДЗ:
(1)___(2)___[3]___(4)___(5)____
Дробь ≥0 тогда и только тогда когда числитель и знаменатель имеют одинаковые знаки.
Числитель положителен на (2;3]U[3;+∞)=(2;+∞)
Знаменатель положителен на (4;5)
Значит дробь положительна при х∈(4;5)
Дробь неотрицательна при х∈{3}U(4;5)
Числитель отрицателен на (1;2)
Знаменатель отрицателен на (1;2)U(2;4)U (5;+∞)
Значит дробь неотрицательна при х∈(1;2)
О т в е т. (1;2)U{3}U(4;5)
Вас заинтересует
2 года назад
2 года назад
8 лет назад
8 лет назад
10 лет назад
10 лет назад