• Предмет: Математика
  • Автор: ОлВиКо
  • Вопрос задан 10 лет назад

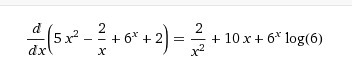
Найти производную функции y= 5x^2-(2/x)+(6^x)+2

Ответы

Ответ дал: МалюкАлекса
0
если онлайн решение производніх
Приложения:
Ответ дал: ОлВиКо
0
Решение не точное и не расписанное!
Вас заинтересует