Ответы
Ответ дал:
0
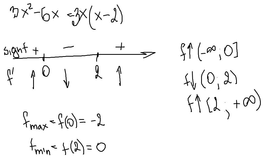
Чтобы исследовать функцию на монотонность и экстремумы, считаем ее производную и приравниваем ее к нулю. Производная этой функции:
f'(x) = 3x^2 - 6x
решаем неравенство относительно нуля и смотрим, если интервал положительный, то функция на нем возрастает, иначе - убывает.
f'(x) = 3x^2 - 6x
решаем неравенство относительно нуля и смотрим, если интервал положительный, то функция на нем возрастает, иначе - убывает.
Приложения:
Вас заинтересует
3 года назад
3 года назад
8 лет назад
8 лет назад
10 лет назад
10 лет назад
10 лет назад