Ответы
Ответ дал:
0
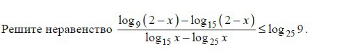
ОДЗ:
х>0
2-x>0
Получаем 0<x<2
Перейти к другому основанию, например 10:


Справа

Неравенство примет вид

или

Так как

то


1) если х>1, а с учетом ОДЗ х∈(1;2)
логарифмическая функция возрастает и большему значению функции соответствует большее значение aргумента

2) если 0<x<1, то

х>0
2-x>0
Получаем 0<x<2
Перейти к другому основанию, например 10:
Справа
Неравенство примет вид
или
Так как
то
1) если х>1, а с учетом ОДЗ х∈(1;2)
логарифмическая функция возрастает и большему значению функции соответствует большее значение aргумента
2) если 0<x<1, то
Ответ дал:
0
Спасибо, а что дальше делать
Вас заинтересует
2 года назад
2 года назад
8 лет назад
8 лет назад
10 лет назад
10 лет назад
10 лет назад
10 лет назад