Ответы
Ответ дал:
0
На случай, если будет не понятно:
№6. а) 3,3-диметилбутановая кислота
б) 2,4-диметил-3-этилпентановая кислота
№6. а) 3,3-диметилбутановая кислота
б) 2,4-диметил-3-этилпентановая кислота
Приложения:


Ответ дал:
0
Не забудьте отметить лучшим, спасибо.)
Ответ дал:
0
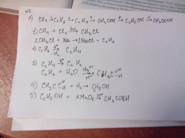
a) C+2Н2=CH4
СН4+CH3Cl=HCl+C2H6
C2H6=C2H4+H2 (В присутствии никеля, платины)
2С2Н4 + О2 = 2 СН3-СОH (в присут. катализатора)
СH3COH + H2=C2H5OH
2C2H5OH + 2O2 = 2CH3COOH + 2H2O
Приложения:


Вас заинтересует
2 года назад
7 лет назад
9 лет назад
10 лет назад