Ответы
Ответ дал:
0
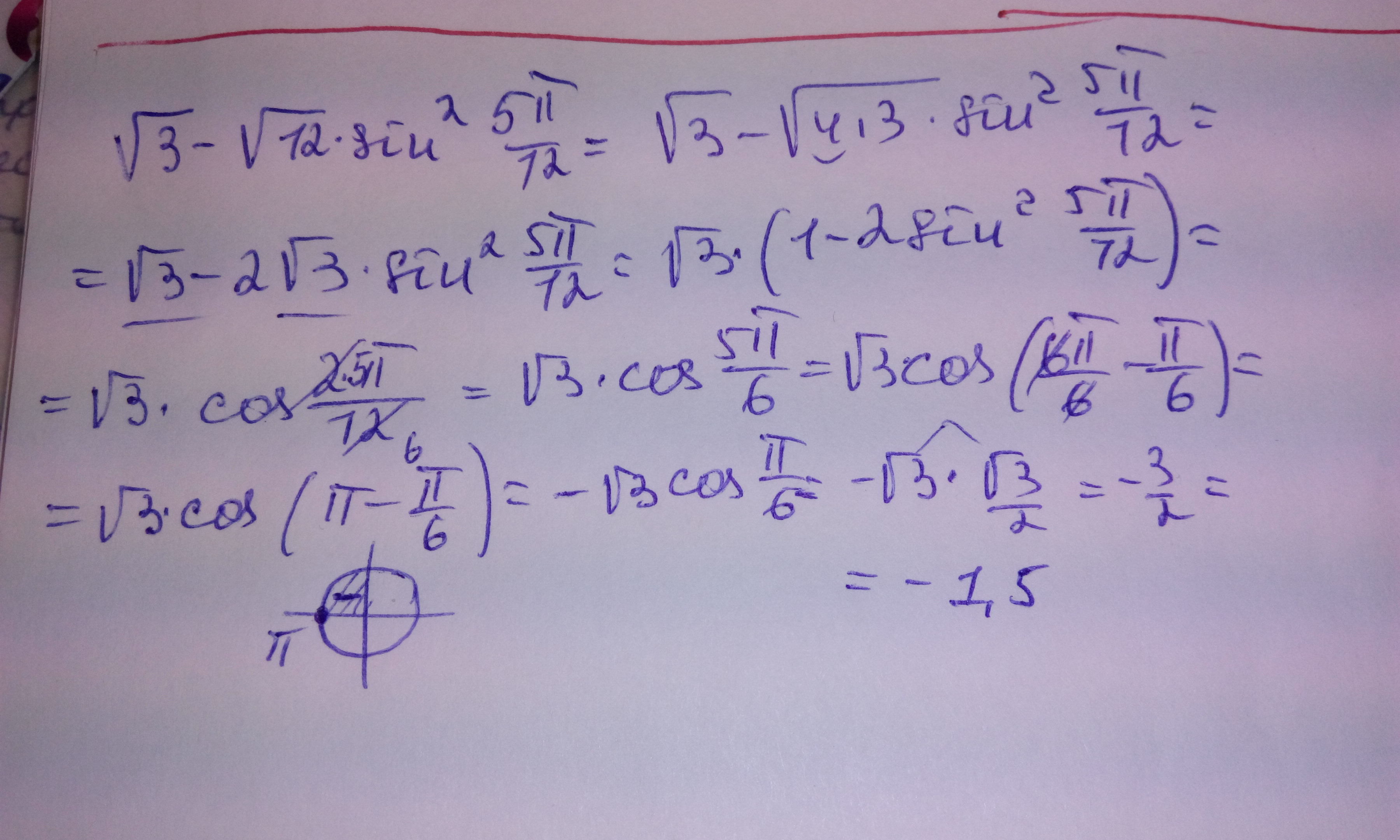
Это косинус двойного угла.
Приложения:

Ответ дал:
0
Большое спасибо
Ответ дал:
0
√3(1-2sin²5π/12)=√3*cos(2*5π/12)=√3*cos5π/6=-√3*√3/2=-1,5
Приложения:

Ответ дал:
0
Большое спасибо
Вас заинтересует
2 года назад
2 года назад
7 лет назад
7 лет назад
9 лет назад
10 лет назад
10 лет назад