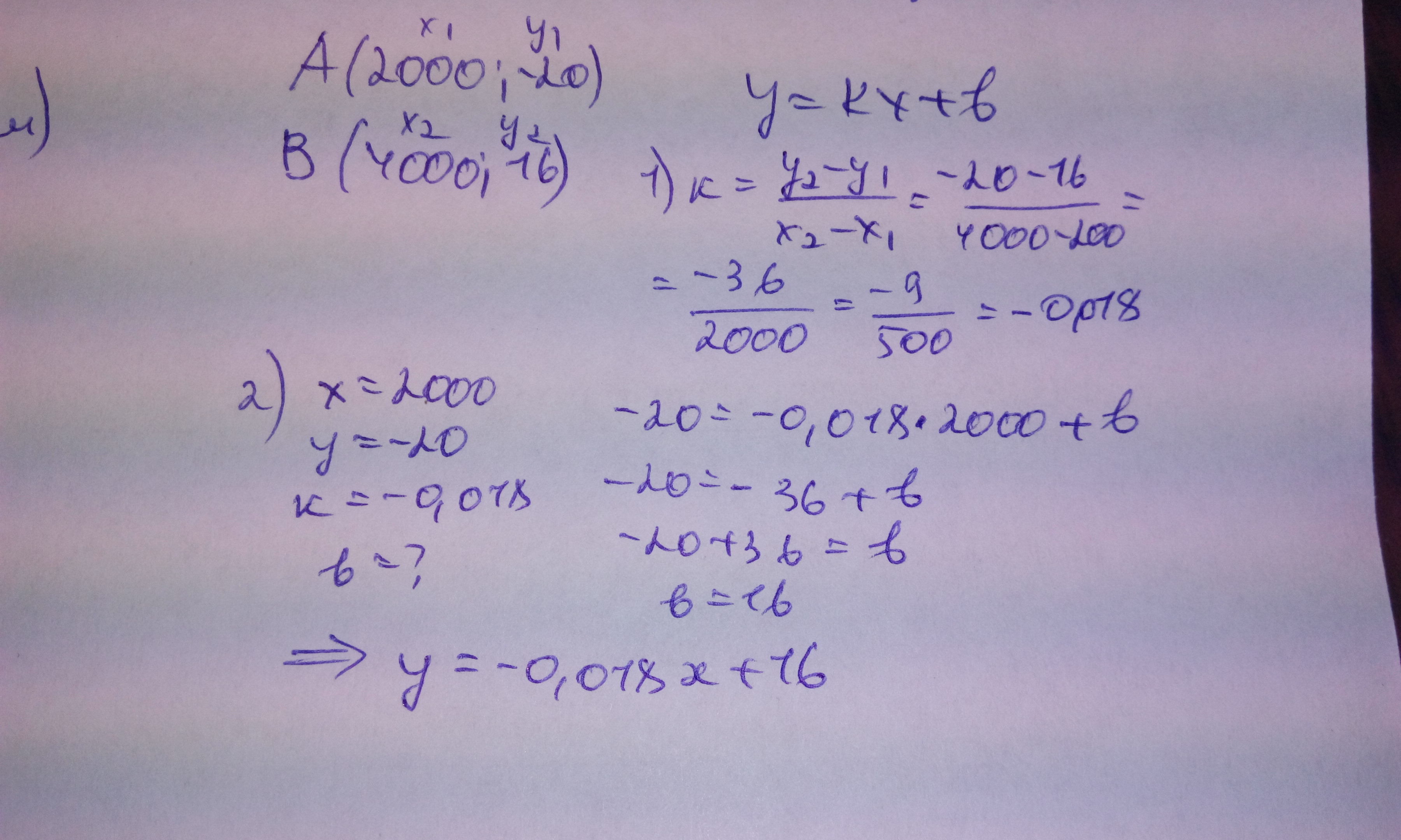
Составьте уравнение по графику с точками (2000;-20) и (4000;16)
Пожалуйста объясните как вы составили это уравнение.
Ответы
Ответ дал:
0
Всё решаем по формулам.
Приложения:

Вас заинтересует
2 года назад
2 года назад
7 лет назад
9 лет назад
10 лет назад