Ответы
Ответ дал:
0
9) -12
12) 7
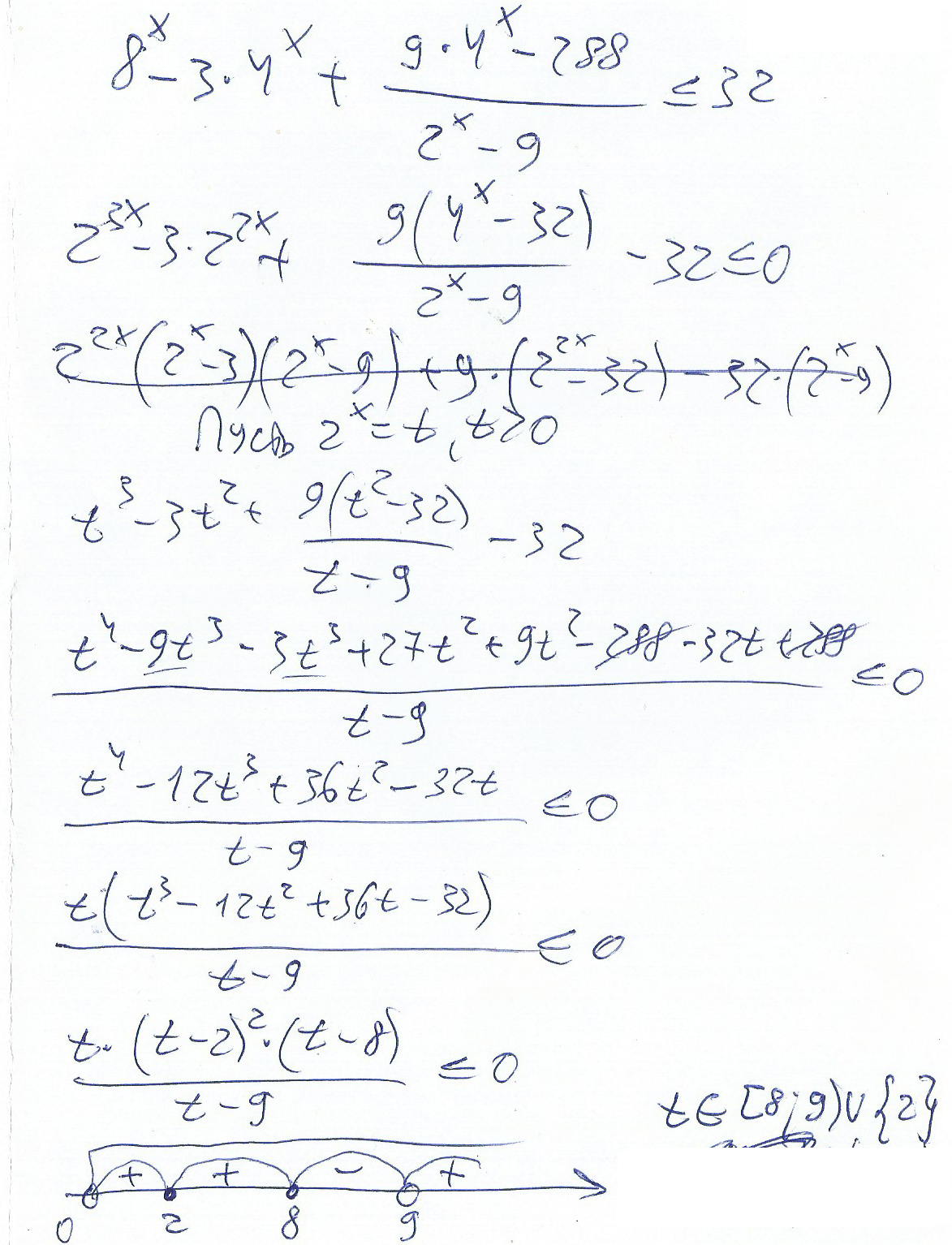
15) решения в файлах
12) 7
15) решения в файлах
Приложения:


Ответ дал:
0
Огромное спасииибо!
Ответ дал:
0
в 12-м 7
Ответ дал:
0
извиняюсь
Ответ дал:
0
y'=3x-30+48/x=3(x^2-10x+16)/x
Нули числителя 2 и 8
Точка минимума x=8
Ответ: 8
Нули числителя 2 и 8
Точка минимума x=8
Ответ: 8
Вас заинтересует
2 года назад
7 лет назад
7 лет назад
9 лет назад