Помогите,пожалуйста!(sqrt это корень,не ужасайтесь)
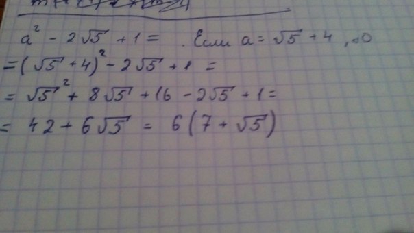
Знайдіть значення виразу a^2-2 sqrt 5+1 при a=sqrt 5+4
Ответы
Ответ дал:
0
Должно быть верно))))
Приложения:

Вас заинтересует
2 года назад
9 лет назад
9 лет назад
10 лет назад