• Предмет: Математика
  • Автор: Holydrake
  • Вопрос задан 9 лет назад

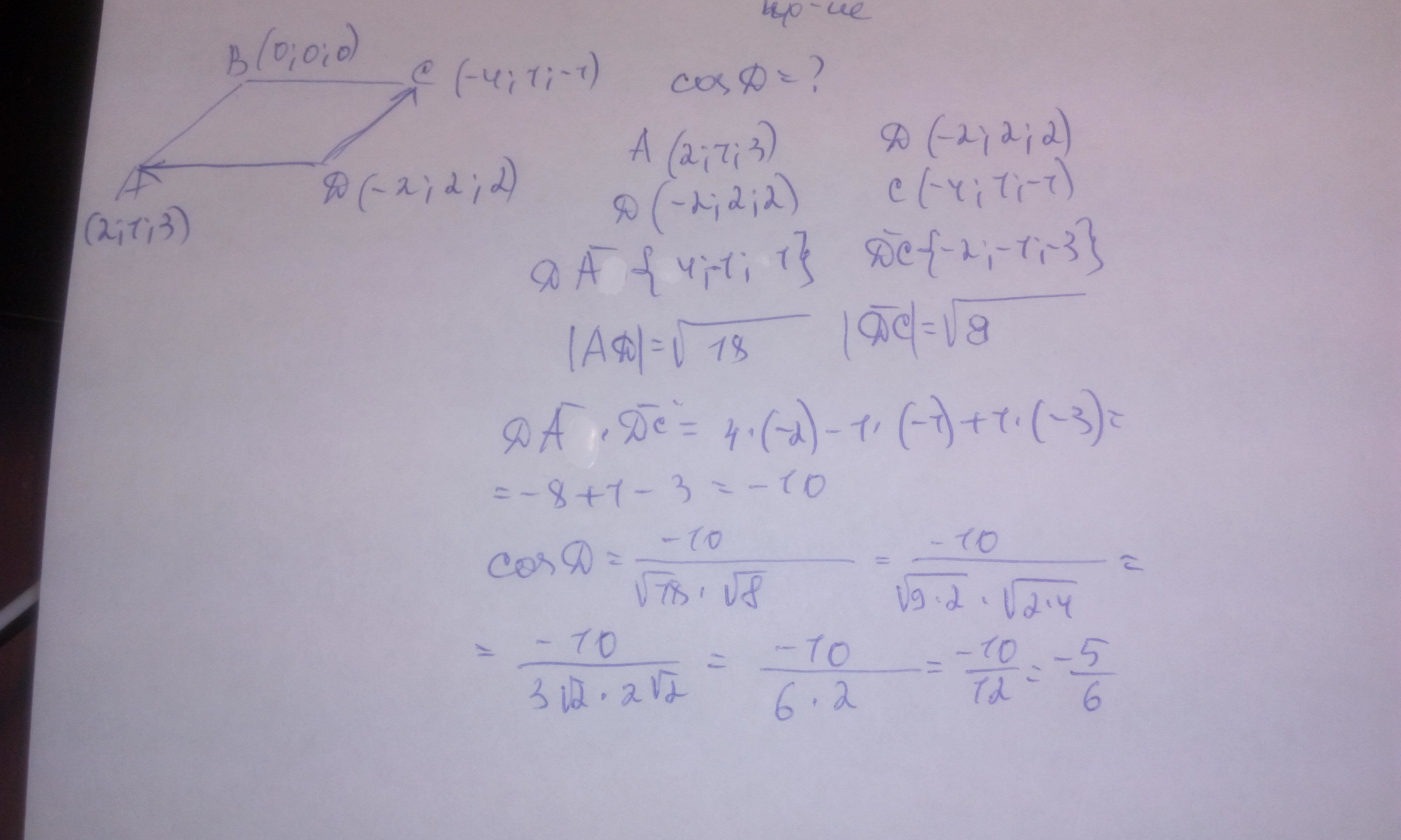
Помогите
Найти конус угла
углD
Найти cos угла D параллелограмм ABC Если А(2;1;3)
В(0;0;0)
С(-4;1;-1)
D(-2;2;2)
Зарание спасибо

Ответы

Ответ дал: irinan2014
0
Всё решаем по формулам.
Приложения:
Вас заинтересует