Ответы
Ответ дал:
0
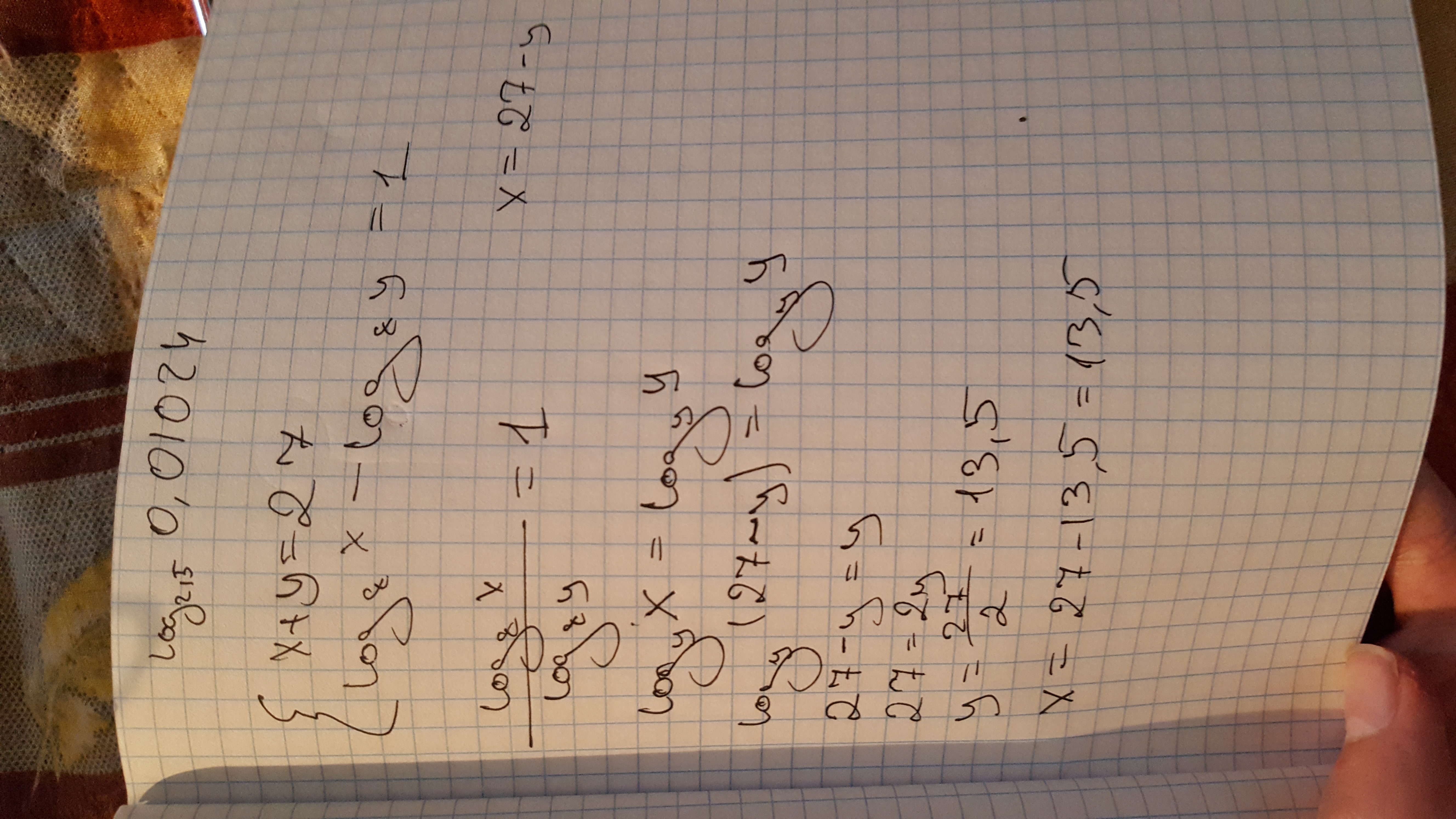
x=27-y
log8 x/log8 y = 1
logy x = logy y
logy (27-y) = logy y
27-y = y
27 = 2y
y=27/2
x=y
log8 x/log8 y = 1
logy x = logy y
logy (27-y) = logy y
27-y = y
27 = 2y
y=27/2
x=y
Приложения:

Вас заинтересует
2 года назад
2 года назад
7 лет назад
7 лет назад
9 лет назад
10 лет назад