• Предмет: Геометрия
  • Автор: nurizyanovag
  • Вопрос задан 9 лет назад

Решите пожалуйста, решается судьба от этой задачи.
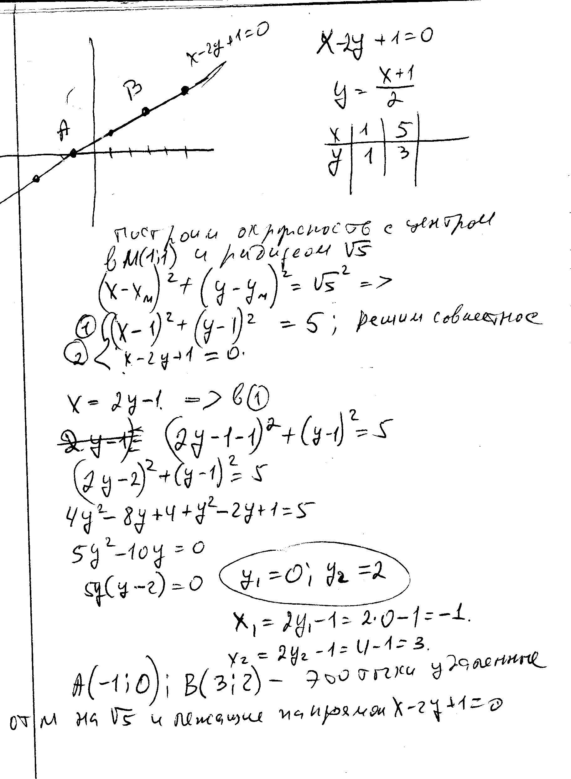
даны прямая x-2y+1=0 и точка M(1,1) на ней. на этой же прямой найти точки удаленные от M на корень из 5
желательно решение с обьяснениями

Ответы

Ответ дал: ужнеужели
0
решение в скане........
Приложения:
Вас заинтересует