помогите пожалуйста умоляю1 найти значение выражения log2 8c если log2 c = -2
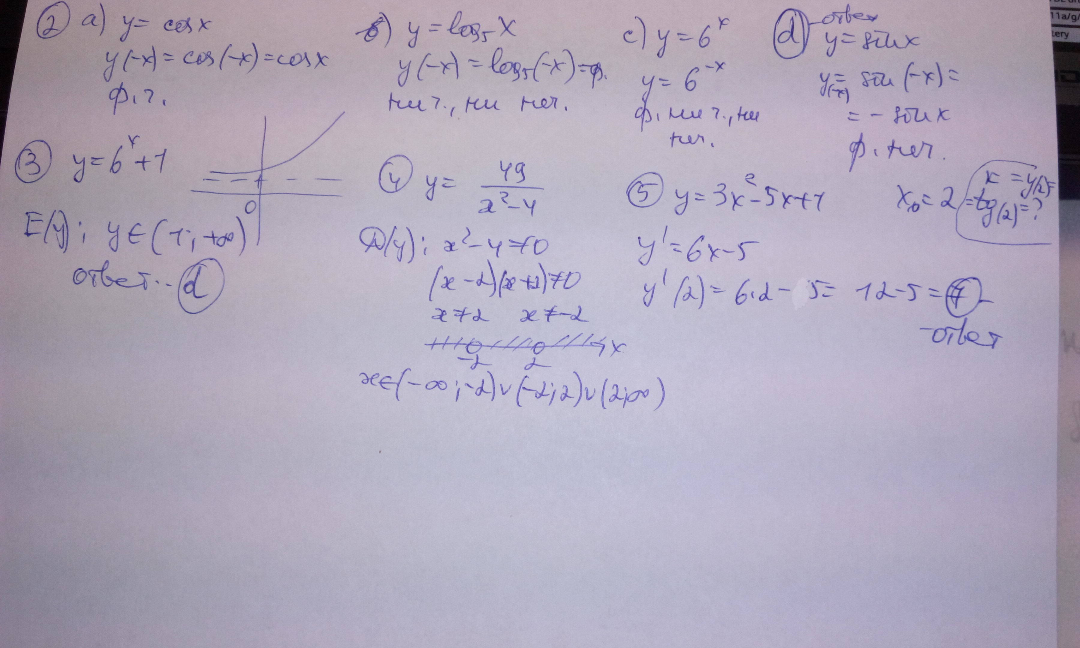
2 укажите нечетную функцию а) y = cos x b) y = log5 x c) y = 6^x d) y = sin x
3 укажите множество значений функции y = 6^x + 1 a) (0;+беск) b) (5; + беск) c) (-беск; +беск) d) (1;+беск)
4 найти область определения функции y = 49/ x^2 -4
5 найти угловой коэффициент касательной, проведенной к графику функции y = 3x^2 - 5x + 1 в точке с абсциссой x0= 2
Ответы
Ответ дал:
0
Всё подробно написала в решении. На 2-м фото: решения 1 задания и 4-ого,если другое условие.
Приложения:


Вас заинтересует
2 года назад
2 года назад
7 лет назад
9 лет назад
10 лет назад