Ответы
Ответ дал:
0
V=1/3SH
найти площадь основания, которая вычисляется по формуле πr², r=H/2=2.5 ⇒ S=π*2.5²=19.64
Высота правильного треугольника=5*sin60°=5*√3/2=4.33
V=19.64*4.33/3=28.35 куб.ед.
В
Ответ дал:
0
Вы несколько невнимательны.. Может поправите?
Ответ дал:
0
Да, спасибо, что-то поторопилась. каникулы))
Ответ дал:
0
Сейчас поправлю
Ответ дал:
0
Удачи Вам. Каникулы - это очень серьезно.
Ответ дал:
0
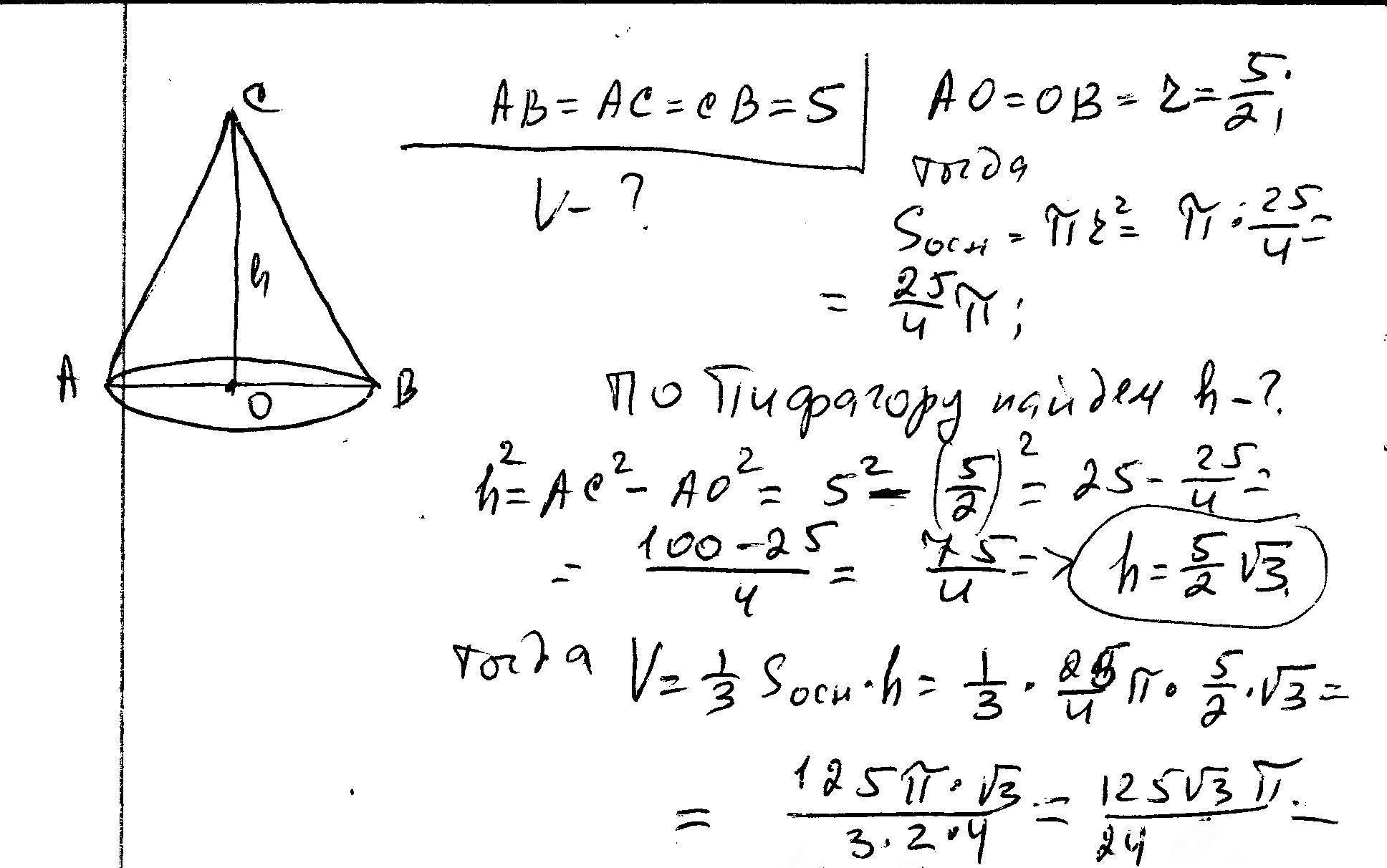
решение в скане....................
Приложения:

Вас заинтересует
2 года назад
7 лет назад
9 лет назад
9 лет назад
10 лет назад