Срочно помогите плизз:
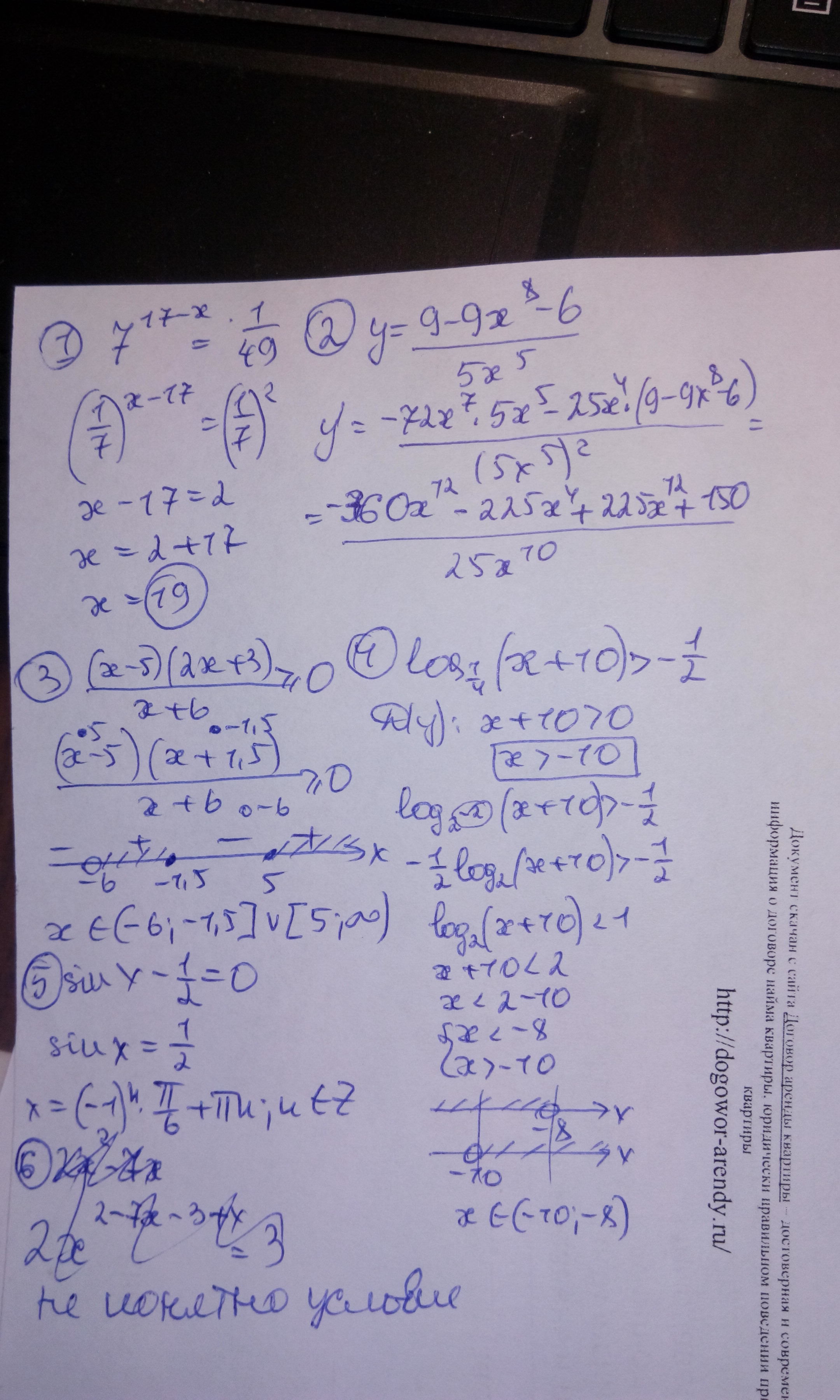
1.найдите корень 7^17-x=149
2.найдите производную фун. y=9-9x^8-65x^5
3.решите неравенство (x-5)(2x+3)x+6>=0
4.решите неравенство log14(x+10)>-12
5.решите уравнение sin -12=0
6.решите уровнение корень 2x^2-7x-3+x=3
Ответы
Ответ дал:
0
Всё подробно написала в решении.
Приложения:

Вас заинтересует
2 года назад
7 лет назад
7 лет назад
9 лет назад
9 лет назад
10 лет назад