Ответы
Ответ дал:
0
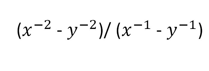
... = (1/x^2 -1/y^2) : ( 1/x - 1/y)= (y^2-x^2)/x^2y^2 : (y-x)/xy= (y-x)(y+x)xy/x^2y^2(y-x)=(y+x)/xy
Ответ дал:
0
= (
) / (
) = ((
) * 
Вас заинтересует
2 года назад
10 лет назад
10 лет назад