• Предмет: Математика
  • Автор: maksimmaksi
  • Вопрос задан 10 лет назад

Интеграл x^2 / 5+ x^3 dx срочно!!

Ответы

Ответ дал: beatdown357
0
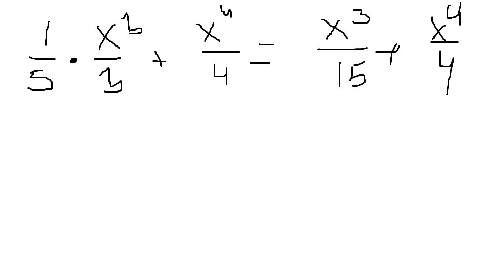
получается так. сначала вынести 1/5. потом по формулам
Приложения:
Вас заинтересует